图片不见啦

柯诤浩

合肥 | 硕士 | 全栈工程师

基 本 信 息

性 别
出 生 日 期
24 Dec 1998
电 话 号 码
13625645256
e-mail
solitudeas@163.com

个 人 技 能

Java
SSM
Android
MySQL
JavaScript
Vue
HTML
CSS

教 育 经 历

图片不见啦
合肥工业大学 | 仪器科学与光电工程学院 | 211 双一流 2017 - 2021 | 测控技术与仪器 | 本科

主修课程:C/C++语言程序设计、微机原理、传感技术、模式识别、数字/模拟电子技术和自动控制原理等

研究方向:嵌入式监测系统设计

我不见啦
安徽大学 | 电气工程与自动化学院 | 211 双一流 2021 - 2023 | 机械类 | 研究生

主修课程:高级程序设计、时间序列分析、机械故障诊断学、矩阵理论和数理统计等

研究方向:远程智能监测诊断系统开发

项 目 经 历


军工项目 | ***状态监测系统

全 栈 开 发

负责:数据库表结构与字段设计 | 服务端开发 | 前端页面设计与开发 | Android App设计与开发

后端:SpringBoot | MyBatis | MySQL | WebSocket
安卓:Android | Retrofit | MPAndroidChart | QMUI
网页:Vue | Element-UI | Echarts | Axios

1、基于WebSocket协议和线程池思想,实现服务端部分信号数据的高速存储与分析
2、基于Token和过滤器,实现系统用户登录和分级访问接口功能
3、基于Vue、Element-UI及其二次封装组件,构建前端SPA页面
4、基于Axios和Echarts,实现前端数据请求与可视化渲染
5、基于Leaflet.js结合后端瓦片地图服务,实现离线地图的定位显示、轨迹显示等
6、基于Webpack和Nginx,实现对前端项目的打包和反向代理,完成项目部署测试
7、基于Retrofit和RxJava,实现移动端应用与服务端数据通讯
8、基于MPAndroidChart,实现Android端仪表盘与数据图表的展示

...

芜湖埃夫特机器人项目 | 工业机器人监测系统

全 栈 开 发

负责:数据库表结构与字段设计搭建 | 服务端开发 | 前端页面设计与开发

后端:Spring | MyBatis-Plus | MySQL
前端:Vue | Element-UI | Echarts | Axios
部署: Webpack | Docker | Nginx

1、基于SSM框架搭建服务端,采用MySQL数据库存储数据,采用端口映射与外网建立通讯
2、基于Token和过滤器,实现系统用户登录和分级访问接口功能
3、基于线程池与多线程,实现振动数据的高速分析与计算
4、基于Axios和Echarts,实现数据请求与可视化渲染
5、基于CDN优化、路由懒加载等手段,实现减少打包体积、加快页面访问速度
6、使用Webpack打包后,交由Nginx反向代理,并由Docker部署于工厂环境中实地运行测试

...

企业实习项目 | 机器智能诊断云平台

开 发 实 习 生

负责:服务端状态监测相关功能开发 | 前端页面状态监测部分开发

后端:Spring | MyBatis | MySQL | Redis
前端:Vue | Element-UI | Echarts | Axios | Three.js

1、基于SSM框架,实现数据信息的CRUD,并使用postman接口测试
2、结合Python,接入相关神经网络算法,实现对部件运行状态智能诊断
3、基于Axios和Echarts,实现数据请求与可视化渲染
4、基于Three.js构建机器的数字孪生体,实现页面上三维机器模型的运行状态的显示与交互

...

新加坡国立大学合作项目 | IC电路分析应用程序

Android 开 发

负责:Android App开发

技术:Android | JLateXMath | QMUI

1、基于单向链表结构,实现元素是虚数多项式分式的矩阵的四则运算
2、通过递归降次实现对虚数多项式分式的约分,降低运算时间
3、基于JlateXMath实现数学符号、电路公式等富文本显示

...

成 果 证 书

图片不见啦

工业设备监测与分析系统软著

图片不见啦

动态信号采集与分析系统软著

项 目 作 品

图片不见啦

***状态监测系统

实现对特种车辆运行状态和关键部位状态信号的存储、查询、处理、分析和诊断功能

详情

***状态监测系统

军 工 项 目

实现对特种车辆运行状态和关键部位状态信号的存储、查询、处理、分析和诊断功能

图片不见啦

***状态监测系统

军工项目,实现对特种车辆运行状态和关键部位状态信号的存储、查询、处理、分析和诊断功能

详情

***状态监测系统

军 工 项 目

实现对特种车辆运行状态和关键部位状态信号的存储、查询、处理、分析和诊断功能

图片不见啦

***状态监测系统

实现对特种车辆运行状态和关键部位状态信号的存储、查询、处理、分析和诊断功能

详情

***状态监测系统

军 工 项 目

实现对特种车辆运行状态和关键部位状态信号的存储、查询、处理、分析和诊断功能

图片不见啦

***状态监测系统

实现对特种车辆运行状态和关键部位状态信号的存储、查询、处理、分析和诊断功能

详情

***状态监测系统

军 工 项 目

实现对特种车辆运行状态和关键部位状态信号的存储、查询、处理、分析和诊断功能

***状态监测系统

实现对特种车辆运行状态和关键部位状态信号的存储、查询、处理、分析和诊断功能

详情

***状态监测系统

军 工 项 目

实现对特种车辆运行状态和关键部位状态信号的存储、查询、处理、分析和诊断功能。

***状态监测系统

军工项目,实现对特种车辆运行状态和关键部位状态信号的存储、查询、处理、分析和诊断功能

详情

***状态监测系统

军 工 项 目

实现对特种车辆运行状态和关键部位状态信号的存储、查询、处理、分析和诊断功能。


图片找不到啦

机器智能诊断云平台

基于数字孪生的工厂机器智能监测诊断平台,实现机器的数字孪生体构建与智能诊断

详情

机器智能诊断云平台

企 业 实 习 项 目

基于数字孪生的工厂机器智能监测诊断平台,实现机器的数字孪生体构建与智能诊断

图片找不到啦

机器智能诊断云平台

基于数字孪生的工厂机器智能监测诊断平台,实现机器的数字孪生体构建与智能诊断

详情

机器智能诊断云平台

企 业 实 习 项 目

基于数字孪生的工厂机器智能监测诊断平台,实现机器的数字孪生体构建与智能诊断

图片找不到啦

机器智能诊断云平台

基于数字孪生的工厂机器智能监测诊断平台,实现机器的数字孪生体构建与智能诊断

详情

机器智能诊断云平台

企 业 实 习 项 目

基于数字孪生的工厂机器智能监测诊断平台,实现机器的数字孪生体构建与智能诊断

图片找不到啦

机器智能诊断云平台

基于数字孪生的工厂机器智能监测诊断平台,实现机器的数字孪生体构建与智能诊断

详情

机器智能诊断云平台

企 业 实 习 项 目

基于数字孪生的工厂机器智能监测诊断平台,实现机器的数字孪生体构建与智能诊断


图片找不到啦

工业机器人监测系统

实现工业机器人运行状态的智能监测与故障诊断

详情

机器智能诊断云平台

企 业 合 作 项 目

实现工业机器人运行状态的智能监测与故障诊断

图片找不到啦

工业机器人监测系统

实现工业机器人运行状态的智能监测与故障诊断

详情

机器智能诊断云平台

企 业 合 作 项 目

实现工业机器人运行状态的智能监测与故障诊断

图片找不到啦

工业机器人监测系统

实现工业机器人运行状态的智能监测与故障诊断

详情

机器智能诊断云平台

企 业 合 作 项 目

实现工业机器人运行状态的智能监测与故障诊断

图片找不到啦

工业机器人监测系统

实现工业机器人运行状态的智能监测与故障诊断

详情

机器智能诊断云平台

企 业 合 作 项 目

实现工业机器人运行状态的智能监测与故障诊断


图片不见啦

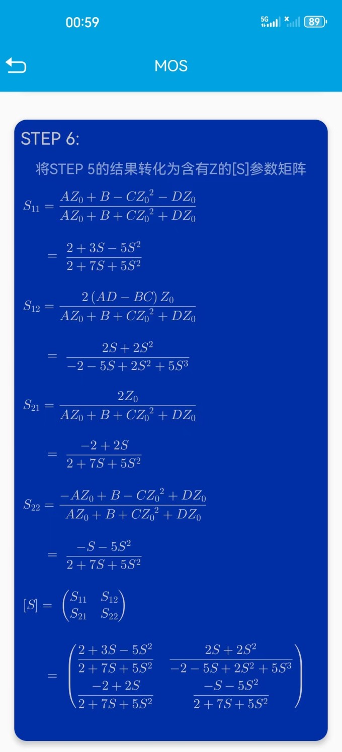
IC电路分析应用程序

选择电路模型,实现对IC电路的分析计算,并展示分析过程

详情

IC电路分析应用程序

高 校 合 作 项 目

选择电路模型,实现对IC电路的分析计算,并展示分析过程

不见啦

IC电路分析应用程序

选择电路模型,实现对IC电路的分析计算,并展示分析过程

详情

IC电路分析应用程序

高 校 合 作 项 目

选择电路模型,实现对IC电路的分析计算,并展示分析过程

图片不见啦

IC电路分析应用程序

选择电路模型,实现对IC电路的分析计算,并展示分析过程

详情

IC电路分析应用程序

高 校 合 作 项 目

选择电路模型,实现对IC电路的分析计算,并展示分析过程